Features:
- Robust rectangular metal housing with M18 thread on the side
- Particularly space-saving design for use where space is restricted
- Precise background suppression
- Programmable light-on/dark-on mode
- Intuitive sensitivity adjustment with pushbutton
For more information, please see Data Sheet
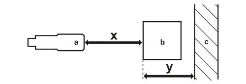
Diagrams and graphs | | a: | sensor | | b: | object | | c: | background | | x: | distance sensor/object [mm] | | y: | min. distance object/background [mm] |
|
 | | x: | distance sensor/object [mm] | | y: | min. distance object/background [mm] | | 1 = | object black (6 % remission) , Background white (90 % remission) | | 2 = | object grey (18 % remission) , Background white (90 % remission) | | 3 = | object white (90 % remission) , Background white (90 % remission) |
|